Zitierstil gesucht: Pädagogische Hochschule Ludwigsburg
Hay, ich verzweifele gerade ein bisschen - ein bisschen sehr.
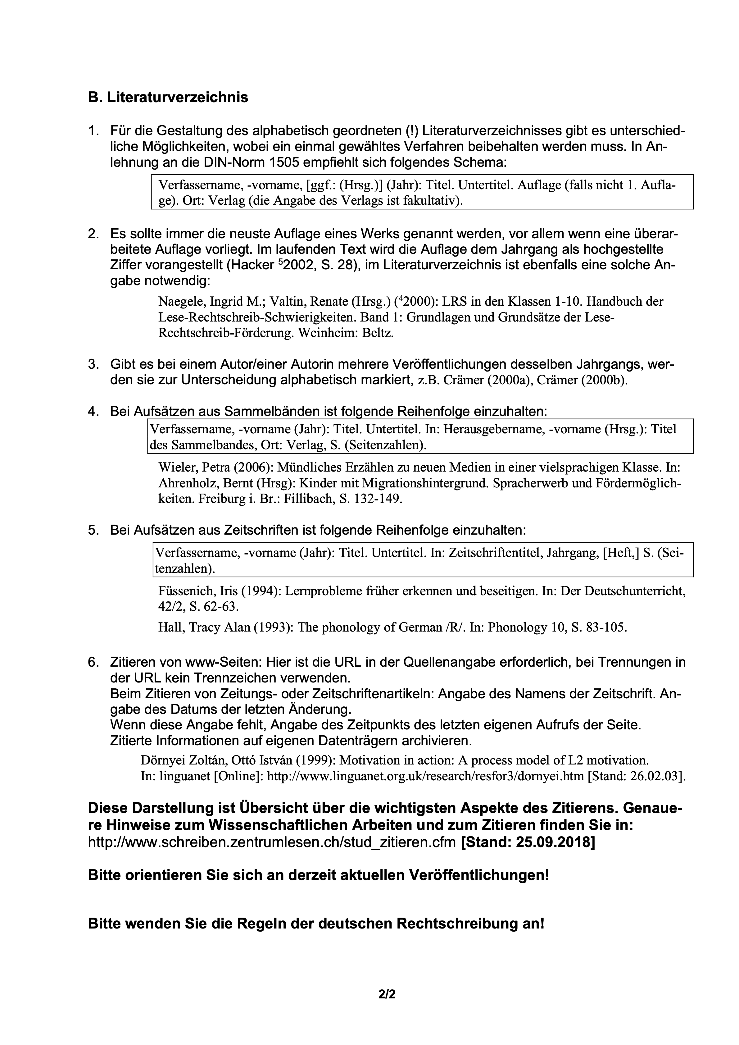
Ich bin mit meiner Hausarbeit fertig und habe alle Notizen mit den Zitaten oder eben Textpassagen bei Zotero markiert und ausgeschrieben als "Erweiterte Notiz". Wie kann ich nun den Zitierstil meiner Hochschule finden?
https://s3.amazonaws.com/zotero.org/images/forums/u14414381/62hkjiytcc0ue6xh8fhp.png
https://s3.amazonaws.com/zotero.org/images/forums/u14414381/e9w6xxp0y96e6dbgjkvw.png
Liebe Grüße und herzlichen Dank im Voraus.
Ich hoffe jemand kann mir helfen...
Ich bin mit meiner Hausarbeit fertig und habe alle Notizen mit den Zitaten oder eben Textpassagen bei Zotero markiert und ausgeschrieben als "Erweiterte Notiz". Wie kann ich nun den Zitierstil meiner Hochschule finden?
https://s3.amazonaws.com/zotero.org/images/forums/u14414381/62hkjiytcc0ue6xh8fhp.png
https://s3.amazonaws.com/zotero.org/images/forums/u14414381/e9w6xxp0y96e6dbgjkvw.png
Liebe Grüße und herzlichen Dank im Voraus.
Ich hoffe jemand kann mir helfen...
Upgrade Storage